Mathematical Scratchpad

coordinates

Inner: 
Completion: 

where

is the triangle with vertices



where

is the region bounded by

and






Tetrahedron in first octant bounded by coordinate planes and


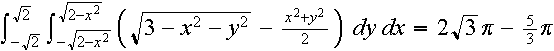
Solid inside both the sphere

and paraboloid


Compute

Inner: 
Using

and

Completion: 
FInd the area bounded by the cardioid



Find the area bounded by one leaf of the rose



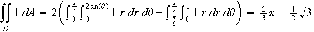
Find area inside both

and




)
to polar coordinates before integrating
Find

where

is the region bounded by the

-axis,
the line

and the circle


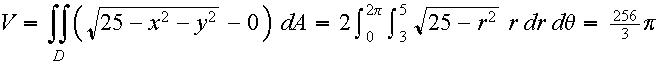
Find the volume of the solid bounded by the paraboloid

and the

-plane.

Find the volume inside the sphere

and outside the cylinder


Find the volume inside the sphere

and outside the cylinder

[This is a project problem but a hint is to write the equation of the cylinder in polar coordinates.]